Module 4 : Equipment economics

Lecture 2 : Operating cost

Example - 2

For a piece of construction equipment mounted on pneumatic tires, find out the hourly ownership cost using average annual investment method with straight line depreciation from the following data;

Initial cost = Rs.8000000, Estimated salvage value = Rs.1350000,

Useful life of the equipment = 11 years, Cost of a set of tires = Rs.600000.

The equipment will operate 1800 hours per year. The interest rate on investment is 7.5% per year. The annual rates for taxes, insurance and storage cost are 3%, 2.5% and 1% respectively. For this equipment, also calculate the hourly tire cost by not considering time value of money, if a new set of tires will be replaced at the end of every 4 years of operation and the estimated tire repair cost is 15% of straight-line depreciation.

Solution:

As the initial cost includes cost of tires, tire cost is subtracted from initial cost of the equipment for calculating ownership cost.

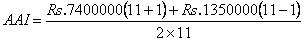
Initial cost less cost of tires (P) = Rs.8000000 – Rs.600000 = Rs.7400000

Salvage value (SV) = Rs.1350000, Useful life (n) = 11 years

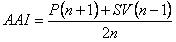
The average annual investment (AAI) is calculated using equation (4.2) and is presented below.

Annual interest or investment cost: A1

The average annual interest or investment cost is calculated by multiplying average annual investment (AAI) by the annual interest rate (7.5%).

Annual depreciation cost: A2

The annual depreciation cost is calculated by straight-line depreciation method.