4.9.4 Hydration of Alkynes
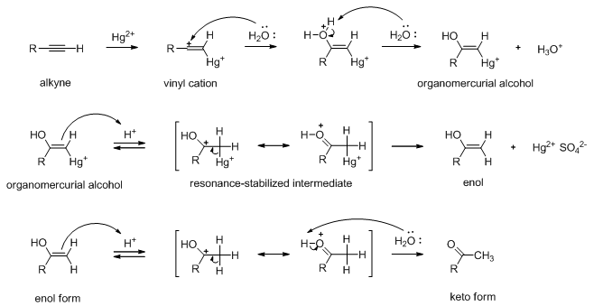
Alkynes undergo acid-catalyzed addition of water across the triple bond in the presence of a mixture of mercuric sulfate in aqueous sulfuric acid. The hydration of alkynes also goes with Markovnikov's orientation (Scheme 12).

Scheme 12
Electrophilic addition of mercuric ion gives a vinyl cation, which reacts with water and loses a proton to give an organomercurial alcohol. Under acidic conditions, mercury is replaced by hydrogen to give an enol which is unstable and isomerizes to the ketone (Scheme 13).

Scheme 13
The hydroxyl proton in the enol is lost, and a proton is regained at the methyl position, while the π-bond shifts from the C = C position to the C = O position. This type of equilibrium is called as tautomerism .

4.9.5 Hydroboration-Oxidation
We know that hydroboration-oxidation adds water across the double bonds of alkenes with anti -Markovnikov's orientation. A similar reaction too takes place with alkynes, but a hindered dialkylborane is used to prevent addition of two molecules of borane across the triple bond. Oxidation of the vinylborane with hydrogen peroxide gives an enol, resulting from anti -Markovnikov addition of water across the triple bond, which tautomerizes to its more stable keto form. In case of a terminal alkyne, the keto product is an aldehyde (Scheme 14).

Scheme 14
Under basic conditions, the mechanism of keto-enol tautomerism is quite different (Scheme 15). The proton is first removed from its old position in the OH group, and then replaced on carbon. In contrast, in acidic conditions, the proton was first added on carbon, and then removed from the hydroxyl group.
Scheme 15