Makosza interfacial mechanism
There is initial formation of metal carbanion at interface in the absence of phase transfer catalyst. This is followed by extraction of metal carbanion species from the interface into the organic phase by action of phase-transfer catalyst. The mechanism is more plausible when phase-transfer catalysts are highly lipophilic and reluctant to enter aqueous phase.

Fig 2. Schematic diagram showing Makosza interfacial mechanism
Types of phase transfer catalysis
The phase transfer catalytic processes can be categorized as follows depending on the number of phases involved.
- liquid–liquid phase transfer catalysis
- solid–liquid phase transfer catalysis
- third-liquid phase-transfer catalysis
The liquid-liquid phase transfer catalysis has been discussed so far.
Solid – liquid PTC
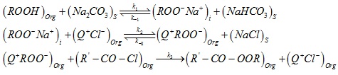
Solid liquid PTC is used for conducting a wide variety of organic transformations. The solid-liquid PTC usually involves reaction of an anionic reagent in a solid phase, with a reactant located in contiguous liquid organic phase. In solid-liquid PTC, the first step involves the transport of a reactant anion from the solid phase to the organic phase by a phase-transfer cation. The second step involves the reaction of the transferred anion with the reactant located in the organic phase. Solid – liquid PTC are used for alkylation of highly acidic compound, preparation of amino acids or aldol-type condensation. The process of hydroperoxide acylation in presence of anhydrous Na2CO3 using solid – liquid PTC system can be demonstrated by a sequence of the following reactions as suggested by Baj et al. [1]:

The scheme is shown in Fig 3. A hydroperoxy anion is generated at the surface of solid Na2CO3 which form a highly lipophilic ion pair [ROO–Q+] with the catalyst cation. This can be transferred deep into the organic phase where the specific reaction occurs producing the product.

Fig 3. Schematic showing mechanism for acylation of hydroperoxides by acid chlorides in solid – liquid PTC