16.1 The Hypersonic Equivalence Principle
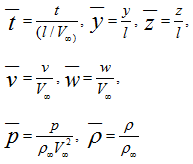
Consider the Euler Equations for two-dimensional unsteady flow in y-z plane.Here x-axis is the direction of freestream velocity. Therefore the governing equations in y-z plane perpendicular to the freestream velocity can be written as,
![]() |
16.1
|
Let us non-dimensionalize using following reference variables,

Where, V∞ and ρ∞ can be treated as reference quantities.
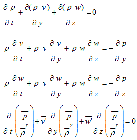
Therefore the non-dimensional form of governing equations are,
![]() |
16.5
16.6
16.7
16.8 |

