6.1. Species continuity equation
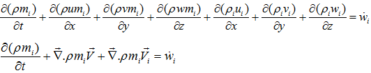
Apart from the mass, momentum and energy conservation equations, species continuity or conservation equation is an important equation for hypersonic flowfield with dissociated gas or ionized gases. Presence of strong bow shock ahead of the body dissociates or even ionizes the air. This dissociated air or mixture of gases or ions flow over the object of interest. Hence, conservation of mass for each component of the mixture should be accounted. Typical species continuity equation given by Eq. 6.1 is similar to the mass conservation equation. Hence procedure to derive this equation would same as that of the mass conservation equation.
![]() |
6.1 |
Here miVi is the diffusive mass flux of species ‘i’ due to concentration gradient of the same in the mixture with velocity ‘Vi’.
Same equation can be written in integral form as well for the elemental control volume in the flowfield as
![]() |
6.2 |
Here, subscript ‘i’ is for a particular specie and mi is the mass fraction of the a specie given by
mi = ρi/ρ;
This term represents the mass fraction of a particular species in the given control volume. Therefore, first term on left hand side of Eq. 6.2, represents rate of change of mass of a particular species in the control volume. The balance for this mass for the control volume is represented by rest of the terms on left hand side and term on right hand side. Second term on left hand side provides the balance through convection by the virtue of gross fluid motion while third term provides the balance through diffusion of mass due to concentration gradient of that particular species. The term on right hand side provides the reason of either generation or consumption of the species due to chemical reaction in the given control volume. In the absence of chemical reaction or for non reacting mixture of gases, the species continuity equation can be expressed as,
![]()

