Electromagnetic waves at the interface
Print this page
First   |   Last   |   Prev   |   Next

These four equations are called as Fresnel's equations and can be obtained by solving the wave propagation equations under the appropriate boundary conditions ((Ref: D.J. Griffiths, Introduction to Electromagnatics, Prentice Hall(1995). ).  

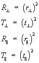
The ratio of corresponding reflected (transmitted) intensity to the incidence intensity is called as the reflectivity (transmittance) for the interface.

Thus,

                 

First   |   Last   |   Prev   |   Next