Fluid Dynamics                                                                                                                                           Print this page
<< Previous |  Next >>       


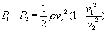
             After rearranging eq(i) we get
                               
                                       -------------------------------- ( ii )

             As per continuity equation
                                    
                                 or,                           -------------------------------- ( iii )

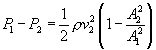
             By replacing    in equ(ii) using eqn (iii)
                                        -------------------------------- ( iv )  

<< Previous  |  Next >>