|
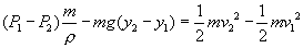
Eq. (32) becomes,

or, 
or, = constant --------------------- (33)
Eq. (33) is called Bernoullis equation for steady, incompressible, non-viscous, irrotational fluid flow. If the velocities , the Bernoullis equation reduces to,
---------------------------------- (34)
It is basically a pressure and depth relationship.
|