Bandpass Random Processes                                                                                                                     Print this page
<< Previous |  First Last |  Next >>       

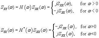
        The frequency response of the Hilbert transform is given by

       and


<< Previous |  First Last |  Next >>