Bandpass Random Processes                                                                                                                     Print this page
<< Previous |  First Last |  Next >>       


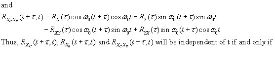
                          Under the the above highlighted conditions
                                   

                      

<< Previous |  First Last |  Next >>