Bandpass Random Processes                                                                                                                     Print this page
<< Previous |  First Last |  Next >>       

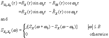
        Taking the Fourier transform of we get

 

       Similarly ,

<< Previous |  First Last |  Next >>