Discrete-time Linear Shift Invariant System                                                                                          Print this page
<< Previous |  First Last |  Next >>       

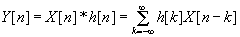
       The output random process is given by

       Given the WSS input the output process is also WSS. We establish this result in the following section.

Mean and Autocorrelation of the output

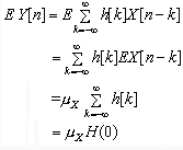
       The mean of the output is given by

 

<< Previous |  First Last |  Next >>