- Since
is a minimum phase filter, the inverse filter exists and stable. Therefore we can have a filter
to filter the given signal to get the innovation sequence.
-
and are related through an invertible transform; so they contain the same information.
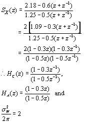
Example 2 Suppose the power spectral density of a discrete random sequence is given by

Then
|