Vector space Interpretation of Random Variables                                                                        Print this page
<< Previous |  First |  Last |  Next >>       


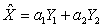
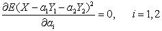
           Example 2 Suppose is a zero-mean random variable which is to be estimated from two zero-mean random variables and . Let the LMMSE estimator be . Then the optimal values of and are given by

           This results in the orthogonality conditions .


and    

           Rewriting the above equations, we get

<< Previous |  First |  Last |  Next >>