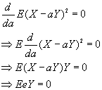
| The minimization is given by
where e is the estimation error.
Thus the optimum value of is such that the estimation error is orthogonal to the observed random variable and the optimal estimator  is the orthogonal projection of on This orthogonality principle forms the heart of a class of estimation problem called Wiener filtering. The orthogonality principle is illustrated geometrically in Figure 3.

Figure 3
|