Transformation of two random variables:                                                                                    Print this page
<< Previous |  First |  Last |  Next >>       


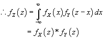
   If X and Y are independent

       
                

   where * is the convolution operation.

 


<< Previous |  First |  Last |  Next >>