Transformation of two random variables:                                                                                    Print this page
<< Previous |  First |  Last |  Next >>       


         

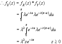
  Note that is an Erlang distribution with

  

<< Previous |  First |  Last |  Next >>