Simulation of Random Variables                                                                                              Print this page
<< Previous |  First |  Last |  Next >>       


                                     

         We have
                                   

Example 2 Suppose, we want to generate a random variable with the exponential distribution given by . Then
                           
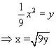
    Therefore given y, we can get by the mapping
                           
    Since is also uniformly distributed over [0, 1], the above expression can be simplified as,
                           

<< Previous |  First |   Last |  Next >>