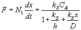
To convert F into oxide thickness growth rate

Where N1 is the oxidant molecules per unit volume required to form a unit volume of SiO2. N1 is 2.3 x 1022 cm-3 for dry oxidation and 4.6 x1022 cm-3 for wet oxidation. Taking boundary conditions as x = x0 at t=0. The oxide thickness grown at any point of time t is modeled as
where A and B are constants.