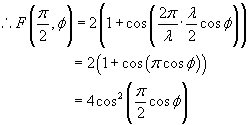
Solution : For the geometry shown in the figure, the array factor In the xy plane, i.e. . Given
Solution : For the geometry shown in the figure, the array factor
In the xy plane, i.e. . Given