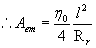
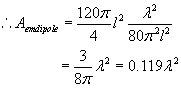
In terms of maximum effective aperture, For a short dipole, and where
In terms of maximum effective aperture,
For a short dipole, and
where