Next
Steady Magnetic Field
Previous
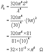
b)Radiation resistance
Radiated Power