Next
Fundamentals of Antennas and Radiating systems
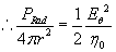
  1. Consider an isotropic antenna radiating in free space. At a distance 100m from the antenna, the electric field () is found to be 10 V/m. What is the total power radiated?

Solution: Let Prad be the radiated power. For an isotropic antenna the radiated power density at a distance r is given by

The time average power density for the radiated field is . (From )