Next
Previous
Fundamentals of Antennas and Radiating systems

Equation (7.7) can be solved to determine and when is known we can find,

.....................................(7.8)

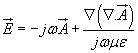
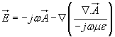
From equation (7.4) and (7.6) we can write.


........................(7.9)

From equations (7.7) - (7.9) we find that both and can be computed when the vector potential is known.

Radiated field of an Herzian dipole: In the previous section we have outlined the procedure for computing the electric magnetic field distribution of a known current density . In this section we consider the radiation from a short current filament. We consider an ideal short linear element (the length of the element dl << operating wavelength) with current considered uniform over its length. More complex antennas can be considered to be made up of a large number of such differential antennas with proper magnitude and phase of their current. For current element under consideration, by continuity, equal and opposite time varying charges must exist on both ends of dl/2 so that such elements are also called a Herzian dipole.