Next
Previous

......................................(7.52b)

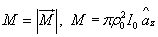
where is the dipole moment of the loop.

The field radiated by a small loop antenna is dual of that small dipole antenna, i.e., a short current filament, the role of electric and magnetic fields are interchanged.

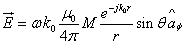
From (7.52) ,

Fundamentals of Antennas and Radiating systems

Using (7.37c) and (7.37e), the radiated field components can be written as

.........................................(7.52a)