Previous
Next
Electromagnetic Waves


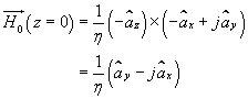
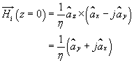
    (b) At z=0