Next
Electromagnetic Waves
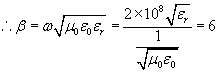
  1. The magnetic field component of an EM wave propagating through a non magnetic dielectric medium is given by

Determine the permittivity of the medium and the electric field intensity.


    Solution :