Next
Previous
Plane Electromagnetic wave

With reference to fig (6.11), the field components can be written as:

Incident field components:

............................(6.79)

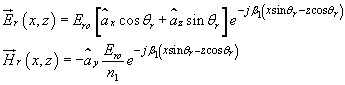
Reflected field components:

............................(6.80)