Previous
Next
Steady Magnetic Field


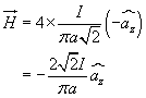
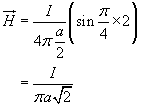
Consider the contribution from all sizes