Previous
Next
Steady Magnetic Field

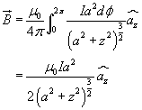
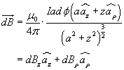
By symmetry, the net contribution along direction adds up to zero when the entire ring is considered.