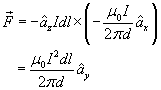
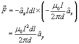
The force Force per unit length and this force is a repulsive force.
The force
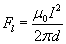
Force per unit length
and this force is a repulsive force.