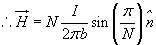
Here, as shown in the Figure P4.4, 'b' is the radius of the circle circumscribed by the polygon and the angle where is the unit vector normal to the plane of the polygon. when N becomes very large becomes very small and
Here, as shown in the Figure P4.4, 'b' is the radius of the circle circumscribed by the polygon and the angle
where is the unit vector normal to the plane of the polygon.
when N becomes very large becomes very small and