Next
Steady Magnetic Field


           

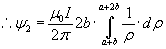
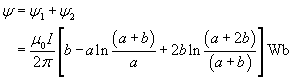
The total flux