Previous
Next
Steady Electric Currents


            
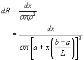
Solution : With reference to the figure, if is the radius at a distance x          

 

            then            

                        
            If we consider the resistance between the faces of a thin disc of thickness thin