Previous
Next
Steady Electric Currents


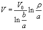
            where A and B are constants.

            We find that