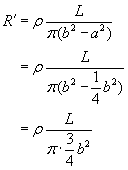
A disc of thickness 't' has radius 'b' and conductivity of the disc material is 'a' . A central hole of radius

is drilled.By what percentage the resistance between the two flat sides of the disv changes? What is the resistance between the hole and the rim of the disc.