Previous
Steady Electric Currents


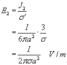
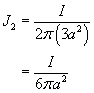
            Similarly or the coating , if J2 is the current density and E2 is the electric field magnitude



and        

            Hence ,