Previous
Next
Steady Electric Currents


            Now                                                        

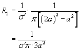
            If the total current is I , then