Previous
Next
Steady Electric Currents




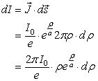
            The total current