Previous
Next
Steady Electric Currents

Continuity Equation and Kirchhoff’s Current Law

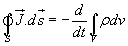
Let us consider a volume V bounded by a surface S. A net charge Q exists within this region. If a net current I flows across the surface out of this region, from the principle of conservation of charge this current can be equated to the time rate of decrease of charge within this volume. Similarly, if a net current flows into the region, the charge in the volume must increase at a rate equal to the current. Thus we can write,

  .....................................(3.17)

 or,   ......................(3.18)

Applying divergence theorem we can write,

  .....................(3.19)

It may be noted that, since in general may be a function of space and time, partial derivatives are used. Further, the equation holds regardless of the choice of volume V , the integrands must be equal.