Previous
Next
Static Electric Fields

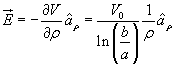
Furthure, .......................(2.136)

Therefore, ........................(2.137)

If we consider a length L of the coaxial conductor, the capacitance

....................................(2.138)

Example-4: Concentric conducting spherical shells

As shown in the figure 2.34, let us consider a pair of concentric spherical conduction shells, outer one being grounded and the inner one maintained at potential V0.