Previous
Next
Static Electric Fields

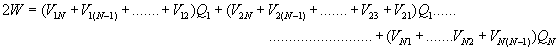
Therefore,

................(2.91)

Here VIJ represent voltage at the Ith charge location due to Jth charge. Therefore,

Or, ................(2.92)

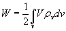
If instead of discrete charges, we now have a distribution of charges over a volume v then we can write,

................(2.93)

where is the volume charge density and V represents the potential function.