Next
Previous
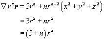
   Solution:

                                          

                                                
       

Evaluating the other two terms in the same manner we can write

                                          

Fundamentals of Antennas and Radiating systems

  1. If & show that