Next
Previous

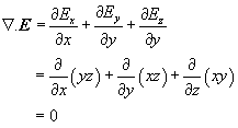
   Solution:

   
                                     


   
                                     

   The vector field E is solenoidal.

Fundamentals of Antennas and Radiating systems

  1. Verify whether the vector field is both solenoidal and irrotational.