DAMPED SYSTEM
Print this page
 

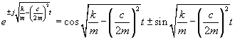
(ii) : exponents in equation (3.23) are imaginary numbers :

  • we can write
Hence the equation (3.23) takes the following form

      

 

  Prev