FREE VIBRATIONS
Print this page
 

Example 3.1: A flywheel of weight 311.36 N is supported on a knife edge at distance 15.24 cm from its geometric centre. If the measure period of oscillation was 1.22 sec, determine the mass moment of inertia of the flywheel about its geometric centre.

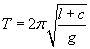
(1) The flywheel can be considered as a compound pendulum. For a compound pendulum the period is given by


T = Time period = 1.22 sec.
l = the distance between centers of rotation and gravity = 0.1524 m
g = acceleration due to 9.81 m/sec2
c = the distance between centers of gravity and percussion =
    = 0.3698-0.1524 = 0.2174 m

  Prev