| Experimental determination of natural frequency and damping ratio :
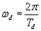
rad/sec, Td can be obtained from displacement-time free vibration oscillations.
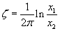
, where x1and x2 are two consecute amplitudes in the free vibration displacement-time curve.

Figure 3.6
|