DAMPED SYSTEM
Print this page
 

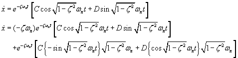
From equation (3.30), we have

On application of initial conditions, we get

x(0)=C

and

; which gives

  Prev