DAMPED SYSTEM
Print this page
 

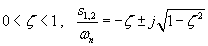
Equation (3.28) is shown in complex plane Figure 3.5. On the Figure 3.5 various points are described as follows.

for ,

for        

s1 and s2 are complex conjugate points on a circular arc,

,

, , always real numbers

  Prev