Measurement and Signal Processing
Print this page
First   |   Last   |   Prev   |   Next

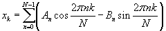
where and are quantities defined by . Further, the inverse real discrete Fourier transform is given by

 

, ( n = 0, 1, 2, …, N -1)                        (11.30)

 

 

We explain the characteristics of the spectra obtain by DFT using an example in the following. Figure 11.27(a) shows a square wave with period T = 8 and sixteen sampled data: and obtained by sampling with interval . In this example, the signal is sampled intentionally in the range that coincides with the period of the original square wave to avoid the leakage error. Figure 11.27(b)-(e) shows spectra representing the real part of , the imaginary part of , the amplitude and the phase .

 
First   |   Last   |   Prev   |   Next